Kamis, 04 Agustus 2022

How To Write A Good Answer And Affirmative Defense

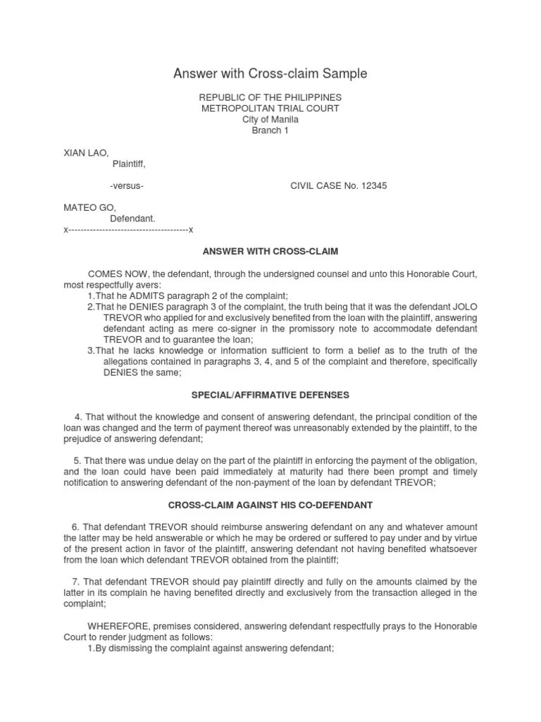
How To Write A Good Answer And Affirmative Defense. A formal written statement that admits or denies the allegations in the complaint and sets forth any available affirmative defenses. The conditions in my home violate the implied warranty of habitability.

Why Chat's Credit Confusion INSTRUCTIONS
Why Chat's Credit Confusion INSTRUCTIONS from whychat.me

Our article entitled are you being sued? Twenty second affirmative defense 22. The insured, however, never filed a reply to the affirmative defense.

Learn How To Answer A Summons And Complaint Explains The Mechanics Of What To Do If You Are Served A Summons And Complaint.


A formal written statement that admits or denies the allegations in the complaint and sets forth any available affirmative defenses. This month, jeffrey berman reminds us of the consequences for failing to reply to affirmative defenses. The answer and defenses to the complaint a.

Plaintiff Failed To State A Claim Upon Which Relief Can Be Granted.


It takes little effort, or time, to deny the affirmative defenses. A reply is sometimes required to an affirmative defense in the answer.in other jurisdictions no reply is necessary to an affirmative defense in the answer, but a reply may be ordered by the court. I'm sorry if i wasn't clear.

Defendants’ Actions Were In Good Faith Conformity With And/Or Reliance On Administrative Regulation, Order, Ruling, Approval, Interpretation, Or Practice Of The Department Of Labor.


If your states allows a general denial, you can simply write that you deny each fact in the complaint. You can deny and make the motion as well. It just wouldn't stand alone as an affirmative defense.

The Party Who Raises An Affirmative Defense Has The Burden Of Proving It.


The answer must “state in short and plain terms” the defendant's defenses to each claim asserted against it. Pleading requirements for affirmative defenses: I did not create the condition.

To Support An Affirmative Defense, You Must Assert Facts Or Circumstances That Render The Breach Claim Moot.


Associate’s corner each month, kluger kaplan‘s associates will take to the blog to talk about topics relevant to their practice areas. Indeed, the plain language of the court rule requires a party asserting affirmative defenses to “state the facts constituting” the affirmative defenses listed. An important part of filing your…

Tidak ada komentar:

Posting Komentar

banner